КулЛиб - Классная библиотека! Скачать книги бесплатно
Всего книг - 807460 томов
Объем библиотеки - 2154 Гб.
Всего авторов - 304944
Пользователей - 130503

Новое на форуме

Впечатления

Морпех про Стаут: Черные орхидеи (Детектив)

Замечания к предыдущей версии:

Рейтинг: 0 ( 0 за, 0 против)
yan.litt про Зубов: Последний попаданец (Боевая фантастика)

Прочитал 4.5 книги общее впечатление на четверку.
ГГ - ивалид, который при операции попал в новый мир, где есть система и прокачка. Ну попал он и фиг с ним - с кем не бывает. В общем попал он и давай осваиваться. Нашел себе учителя, который ему все показал и рассказал, сводил в проклятое место и прокачал малек. Ну а потом, учителя убивают и наш херой отправился в самостоятельноя плавание
Плюсы
1. Сюжет довольно динамический, постоянно

  подробнее ...

Рейтинг: +2 ( 2 за, 0 против)
iwanwed про Корнеев: Врач из будущего (Альтернативная история)

Жуткая антисоветчина! А как известно, поскреби получше любого антисоветчика - получишь русофоба.

Рейтинг: 0 ( 2 за, 2 против)
Serg55 про Воронков: Артефактор (Попаданцы)

как то обидно, ладно не хочет сувать кому попало, но обидеть женщину - не дать сделатть минет?

Рейтинг: +1 ( 1 за, 0 против)
чтун про Мельников: RealRPG. Системный опер 3 (Попаданцы)

"Вишенкой на "торт" :
Системный системщик XD

Рейтинг: +1 ( 2 за, 1 против)

Сборник задач по тригонометрии для средней школы 8-9 годы обучения [Николай Александрович Рыбкин] (djvu) читать онлайн

Книга в формате djvu! Изображения и текст могут не отображаться!


 [Настройки текста]  [Cбросить фильтры]

Николай Рыбкин - Сборник задач по тригонометрии для средней школы 8-9 годы обучения

Николай Рыбкин - Сборник задач по тригонометрии для средней школы 8-9 годы обучения - Страница № 1

Николай Рыбкин - Сборник задач по тригонометрии для средней школы 8-9 годы обучения - Страница № 2

Николай Рыбкин - Сборник задач по тригонометрии для средней школы 8-9 годы обучения - Страница № 3

Николай Рыбкин - Сборник задач по тригонометрии для средней школы 8-9 годы обучения - Страница № 4

Николай Рыбкин - Сборник задач по тригонометрии для средней школы 8-9 годы обучения - Страница № 5

Николай Рыбкин - Сборник задач по тригонометрии для средней школы 8-9 годы обучения - Страница № 6

Николай Рыбкин - Сборник задач по тригонометрии для средней школы 8-9 годы обучения - Страница № 7

Николай Рыбкин - Сборник задач по тригонометрии для средней школы 8-9 годы обучения - Страница № 8

Николай Рыбкин - Сборник задач по тригонометрии для средней школы 8-9 годы обучения - Страница № 9

Николай Рыбкин - Сборник задач по тригонометрии для средней школы 8-9 годы обучения - Страница № 10

Николай Рыбкин - Сборник задач по тригонометрии для средней школы 8-9 годы обучения - Страница № 11

Николай Рыбкин - Сборник задач по тригонометрии для средней школы 8-9 годы обучения - Страница № 12

Николай Рыбкин - Сборник задач по тригонометрии для средней школы 8-9 годы обучения - Страница № 13

Николай Рыбкин - Сборник задач по тригонометрии для средней школы 8-9 годы обучения - Страница № 14

Николай Рыбкин - Сборник задач по тригонометрии для средней школы 8-9 годы обучения - Страница № 15

Николай Рыбкин - Сборник задач по тригонометрии для средней школы 8-9 годы обучения - Страница № 16

Николай Рыбкин - Сборник задач по тригонометрии для средней школы 8-9 годы обучения - Страница № 17

Николай Рыбкин - Сборник задач по тригонометрии для средней школы 8-9 годы обучения - Страница № 18

Николай Рыбкин - Сборник задач по тригонометрии для средней школы 8-9 годы обучения - Страница № 19

Николай Рыбкин - Сборник задач по тригонометрии для средней школы 8-9 годы обучения - Страница № 20

Николай Рыбкин - Сборник задач по тригонометрии для средней школы 8-9 годы обучения - Страница № 21

Николай Рыбкин - Сборник задач по тригонометрии для средней школы 8-9 годы обучения - Страница № 22

Николай Рыбкин - Сборник задач по тригонометрии для средней школы 8-9 годы обучения - Страница № 23

Николай Рыбкин - Сборник задач по тригонометрии для средней школы 8-9 годы обучения - Страница № 24

Николай Рыбкин - Сборник задач по тригонометрии для средней школы 8-9 годы обучения - Страница № 25

Николай Рыбкин - Сборник задач по тригонометрии для средней школы 8-9 годы обучения - Страница № 26

Николай Рыбкин - Сборник задач по тригонометрии для средней школы 8-9 годы обучения - Страница № 27

Николай Рыбкин - Сборник задач по тригонометрии для средней школы 8-9 годы обучения - Страница № 28

Николай Рыбкин - Сборник задач по тригонометрии для средней школы 8-9 годы обучения - Страница № 29

Николай Рыбкин - Сборник задач по тригонометрии для средней школы 8-9 годы обучения - Страница № 30

Николай Рыбкин - Сборник задач по тригонометрии для средней школы 8-9 годы обучения - Страница № 31

Николай Рыбкин - Сборник задач по тригонометрии для средней школы 8-9 годы обучения - Страница № 32

Николай Рыбкин - Сборник задач по тригонометрии для средней школы 8-9 годы обучения - Страница № 33

Николай Рыбкин - Сборник задач по тригонометрии для средней школы 8-9 годы обучения - Страница № 34

Николай Рыбкин - Сборник задач по тригонометрии для средней школы 8-9 годы обучения - Страница № 35

Николай Рыбкин - Сборник задач по тригонометрии для средней школы 8-9 годы обучения - Страница № 36

Николай Рыбкин - Сборник задач по тригонометрии для средней школы 8-9 годы обучения - Страница № 37

Николай Рыбкин - Сборник задач по тригонометрии для средней школы 8-9 годы обучения - Страница № 38

Николай Рыбкин - Сборник задач по тригонометрии для средней школы 8-9 годы обучения - Страница № 39

Николай Рыбкин - Сборник задач по тригонометрии для средней школы 8-9 годы обучения - Страница № 40

Николай Рыбкин - Сборник задач по тригонометрии для средней школы 8-9 годы обучения - Страница № 41

Николай Рыбкин - Сборник задач по тригонометрии для средней школы 8-9 годы обучения - Страница № 42

Николай Рыбкин - Сборник задач по тригонометрии для средней школы 8-9 годы обучения - Страница № 43

Николай Рыбкин - Сборник задач по тригонометрии для средней школы 8-9 годы обучения - Страница № 44

Николай Рыбкин - Сборник задач по тригонометрии для средней школы 8-9 годы обучения - Страница № 45

Николай Рыбкин - Сборник задач по тригонометрии для средней школы 8-9 годы обучения - Страница № 46

Николай Рыбкин - Сборник задач по тригонометрии для средней школы 8-9 годы обучения - Страница № 47

Николай Рыбкин - Сборник задач по тригонометрии для средней школы 8-9 годы обучения - Страница № 48

Николай Рыбкин - Сборник задач по тригонометрии для средней школы 8-9 годы обучения - Страница № 49

Николай Рыбкин - Сборник задач по тригонометрии для средней школы 8-9 годы обучения - Страница № 50

Николай Рыбкин - Сборник задач по тригонометрии для средней школы 8-9 годы обучения - Страница № 51

Николай Рыбкин - Сборник задач по тригонометрии для средней школы 8-9 годы обучения - Страница № 52

Николай Рыбкин - Сборник задач по тригонометрии для средней школы 8-9 годы обучения - Страница № 53

Николай Рыбкин - Сборник задач по тригонометрии для средней школы 8-9 годы обучения - Страница № 54

Николай Рыбкин - Сборник задач по тригонометрии для средней школы 8-9 годы обучения - Страница № 55

Николай Рыбкин - Сборник задач по тригонометрии для средней школы 8-9 годы обучения - Страница № 56

Николай Рыбкин - Сборник задач по тригонометрии для средней школы 8-9 годы обучения - Страница № 57

Николай Рыбкин - Сборник задач по тригонометрии для средней школы 8-9 годы обучения - Страница № 58

Николай Рыбкин - Сборник задач по тригонометрии для средней школы 8-9 годы обучения - Страница № 59

Николай Рыбкин - Сборник задач по тригонометрии для средней школы 8-9 годы обучения - Страница № 60

Николай Рыбкин - Сборник задач по тригонометрии для средней школы 8-9 годы обучения - Страница № 61

Николай Рыбкин - Сборник задач по тригонометрии для средней школы 8-9 годы обучения - Страница № 62

Николай Рыбкин - Сборник задач по тригонометрии для средней школы 8-9 годы обучения - Страница № 63

Николай Рыбкин - Сборник задач по тригонометрии для средней школы 8-9 годы обучения - Страница № 64

Николай Рыбкин - Сборник задач по тригонометрии для средней школы 8-9 годы обучения - Страница № 65

Николай Рыбкин - Сборник задач по тригонометрии для средней школы 8-9 годы обучения - Страница № 66

Николай Рыбкин - Сборник задач по тригонометрии для средней школы 8-9 годы обучения - Страница № 67

Николай Рыбкин - Сборник задач по тригонометрии для средней школы 8-9 годы обучения - Страница № 68

Николай Рыбкин - Сборник задач по тригонометрии для средней школы 8-9 годы обучения - Страница № 69

Николай Рыбкин - Сборник задач по тригонометрии для средней школы 8-9 годы обучения - Страница № 70

Николай Рыбкин - Сборник задач по тригонометрии для средней школы 8-9 годы обучения - Страница № 71

Николай Рыбкин - Сборник задач по тригонометрии для средней школы 8-9 годы обучения - Страница № 72

Николай Рыбкин - Сборник задач по тригонометрии для средней школы 8-9 годы обучения - Страница № 73

Николай Рыбкин - Сборник задач по тригонометрии для средней школы 8-9 годы обучения - Страница № 74

Николай Рыбкин - Сборник задач по тригонометрии для средней школы 8-9 годы обучения - Страница № 75

Николай Рыбкин - Сборник задач по тригонометрии для средней школы 8-9 годы обучения - Страница № 76

Николай Рыбкин - Сборник задач по тригонометрии для средней школы 8-9 годы обучения - Страница № 77

Николай Рыбкин - Сборник задач по тригонометрии для средней школы 8-9 годы обучения - Страница № 78

Николай Рыбкин - Сборник задач по тригонометрии для средней школы 8-9 годы обучения - Страница № 79

Николай Рыбкин - Сборник задач по тригонометрии для средней школы 8-9 годы обучения - Страница № 80

Николай Рыбкин - Сборник задач по тригонометрии для средней школы 8-9 годы обучения - Страница № 81

Николай Рыбкин - Сборник задач по тригонометрии для средней школы 8-9 годы обучения - Страница № 82

Николай Рыбкин - Сборник задач по тригонометрии для средней школы 8-9 годы обучения - Страница № 83

Николай Рыбкин - Сборник задач по тригонометрии для средней школы 8-9 годы обучения - Страница № 84

Николай Рыбкин - Сборник задач по тригонометрии для средней школы 8-9 годы обучения - Страница № 85

Николай Рыбкин - Сборник задач по тригонометрии для средней школы 8-9 годы обучения - Страница № 86

Николай Рыбкин - Сборник задач по тригонометрии для средней школы 8-9 годы обучения - Страница № 87

Николай Рыбкин - Сборник задач по тригонометрии для средней школы 8-9 годы обучения - Страница № 88

Николай Рыбкин - Сборник задач по тригонометрии для средней школы 8-9 годы обучения - Страница № 89

Николай Рыбкин - Сборник задач по тригонометрии для средней школы 8-9 годы обучения - Страница № 90

Николай Рыбкин - Сборник задач по тригонометрии для средней школы 8-9 годы обучения - Страница № 91

Николай Рыбкин - Сборник задач по тригонометрии для средней школы 8-9 годы обучения - Страница № 92

Николай Рыбкин - Сборник задач по тригонометрии для средней школы 8-9 годы обучения - Страница № 93

Николай Рыбкин - Сборник задач по тригонометрии для средней школы 8-9 годы обучения - Страница № 94

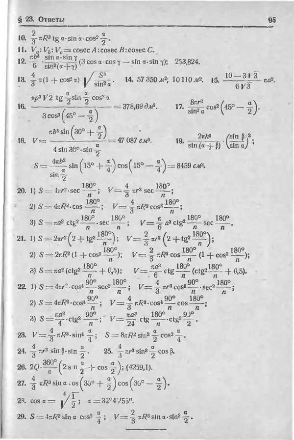
Николай Рыбкин - Сборник задач по тригонометрии для средней школы 8-9 годы обучения - Страница № 95

Николай Рыбкин - Сборник задач по тригонометрии для средней школы 8-9 годы обучения - Страница № 96

Николай Рыбкин - Сборник задач по тригонометрии для средней школы 8-9 годы обучения - Страница № 97

Николай Рыбкин - Сборник задач по тригонометрии для средней школы 8-9 годы обучения - Страница № 98